두려움과 불안이 공격성으로 이어져…작은 개는 사회성 훈련 소홀
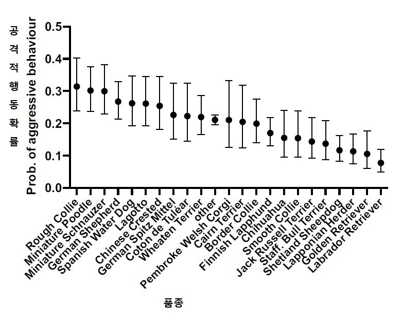
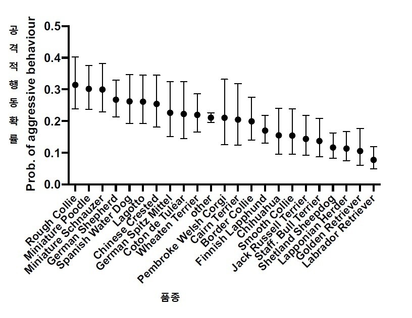
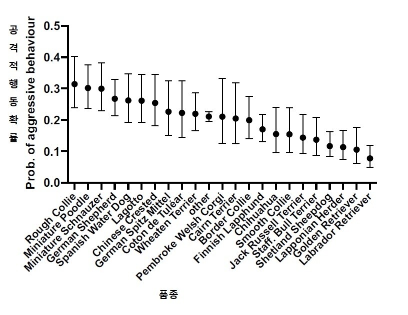
품종별로는 러프 콜리, 푸들, 미니어처 슈나우저가 가장 공격적 성격

개의 공격성은 품종뿐 아니라 개의 개별적 특성과 주변 환경 등과 밀접한 관련이 있다. 비교적 공격성이 낮은 품종인 잭 러셀 테리어가 무슨 이유에선지 몹시 화가 났다.
낯선 사람뿐 아니라 가족 구성원에게도 개는 종종 거칠게 짖거나 이를 드러내면서 으르렁거리고 가볍게 또는 심하게 물기도 한다. 이런 개의 공격성은 자신이 겁에 질린 상태일 때 가장 자주 나타나는 것으로 밝혀졌다.
살라 미콜라 등 핀란드 헬싱키대 연구자들은 9000마리가 넘는 개에 대한 방대한 자료를 분석한 결과 “개의 공격성은 개가 얼마나 겁에 질렸는지와 함께 나이, 품종, 크기, 성별, 반려인이 기르는 몇 번째 첫 개인지, 함께 사는 개가 있는지와 관련이 있는 것으로 나타났다”고 과학저널 ‘사이언티픽 리포츠’ 최근호에 실린 논문에서 밝혔다.
개 주인과의 온라인 설문조사를 통해 이뤄진 이번 연구에서 개의 두려움은 다른 인구통계학적 요인이나 환경적 요인보다 훨씬 더 개의 공격성과 연결된 것으로 나타났다. 두려움을 덜 느끼는 개가 공격적 행동을 하는 비율이 10% 정도였던 데 견줘 두려움을 잘 느끼는 개는 그 비율이 30∼40%에 이르렀다. 기존 연구에서도 두려움과 불안을 많이 느끼는 개, 소음에 민감한 개는 대개 강한 공격성을 보였다고 연구자들은 덧붙였다.
일반적으로 야생동물은 위협을 느끼면 우선 도망치는 쪽을 택한다. 그러나 도피가 여의치 않으면 대부분 맞서 싸우는 대응으로 재빨리 전환한다.

개의 공격성은 영역 침범 응징, 동료 보호, 소유물 지키기, 두려움 반응 등 다양한 이유로 나타난다. 치와와는 공격성이 높은 품종이기도 하다. 데이비드 생크본,
미국 동물학대방지협회(ASPCA)는 “개들도 낯선 사람 등과 부닥치면 처음엔 피하려 하지만 구석에 몰리거나 붙잡히면 공격한다”며 “겁먹은 개는 물고 달아날 생각에 경고에서부터 물기까지 걸리는 시간이 매우 짧고 위협하던 사람이나 동물이 물러나면 따라가 물기 때문에 겁먹은 개에게 등을 보이는 것은 현명한 행동이 아니다”라고 누리집 설명자료에서 밝혔다.
이번 연구에서는 또 작은 개가 중형이나 대형 개보다 더 공격적 행동을 하는 것으로 밝혀졌다. 연구자들은 “작은 개가 종종 겁을 잘 먹는 성격을 타고나는 데다 주인도 작은 개의 공격성을 대수롭지 않게 여기는 경향이 있기 때문”이라고 밝혔다. 큰 개라면 받는 전문적인 훈련을 작은 개는 종종 받지 않는다.
늙은 개도 젊은 개보다 공격성이 두드러졌다.
연구자들은 늙은 개가 잦은 공격성을 보이는 주요한 이유로 통증을 꼽았다. 예를 들어 고관절 이상을 앓는 개는 통증으로 인해 공격성이 강해진다. 또 백내장을 앓는 개는 접근하는 사람을 보지 못하는 데 따른 불안이 공격성으로 이어진다.

개의 품종별 공격성. 가로축이 품종이고 세로가 공격성을 나타낸다. 미콜라 외 (2021) ‘사이언티픽 리포츠’ 제공.
개는 가축화 과정에서 용도에 따라 공격성을 기르기도 했다. 가축과 집을 지키고 사냥을 위해 선발한 개는 당연히 공격성이 높다. 반려견이 되더라도 이런 형질이 남아있다.
연구에 참여한 한네스 로히 교수는 “러프 콜리, 푸들, 미니어처 슈나우저는 가장 공격성이 큰 품종이었고 공격성이 가장 낮은 품종은 래브라도 리트리버와 골든 리트리버로 나타났다”며 “겁먹기와 공격성은 유전되기 때문에 반려견을 들이려는 사람은 품종이 개발된 배경에 주의해야 하고 육종하려는 사람은 어미의 성격을 주의 깊게 봐야 한다”고 이 대학 보도자료에서 말했다.
이밖에 환경적인 요인도 작용해 앞서 개를 길러본 사람의 개는 공격성이 처음 기르는 사람보다 덜했다. 이것은 경험자가 개를 기를 때 사회성의 중요성을 잘 알기 때문이라고 연구자들은 설명했다.
이와 함께 다른 개와 함께 사는 개가 외둥이보다, 수컷은 중성화와 무관하게 암컷보다 공격성이 덜한 것으로 나타났다. 조홍섭 기자
'● 건강 Life' 카테고리의 다른 글
| WHO, "백신 맞았어도 마스크 쓰라"...미 ‘노마스크’ 에 “주의 필요” (0) | 2021.05.15 |
|---|---|
| 한국산 항체치료제, 뉴욕 · 영국-나이지리아 '기타 변이'에 효과 (0) | 2021.05.15 |
| 고쳐 쓰며 얻게 되는 ‘리페어 문화’ 의 의의와 가치 (0) | 2021.05.08 |
| 영국, “AZ 백신 접종 가능한 피하라” 30살→40살 미만 권고 (0) | 2021.05.08 |
| 중국 시노팜 백신, WHO 긴급사용 승인 받았다 (0) | 2021.05.08 |
| ‘코로나19 백신 특허 정지’ 유럽연합, 독일 반대 속 이견 조율 (0) | 2021.05.08 |
| ‘단맛 음료’ 매일 한 잔, 50살 전에 대장암 위험 32% 높아 (0) | 2021.05.08 |
